收藏本版
搜索
查看: 12073|回复: 15
打印 上一主题 下一主题

[搜罗嘉兴] 最新,高考艺体类首段平行投档分数线出炉!

[复制链接]
IP归属地:浙江
嘉兴圈哥  楼主
签到
1165

2891

主题

5493

帖子

8082

积分

超级版主

金币
11997
注册时间
2017-5-16

手机认证勋章

跳转到指定楼层
1#
更新于 2024-07-19 10:30 | 只看该作者 回帖奖励 |倒序浏览 |阅读模式
分享到

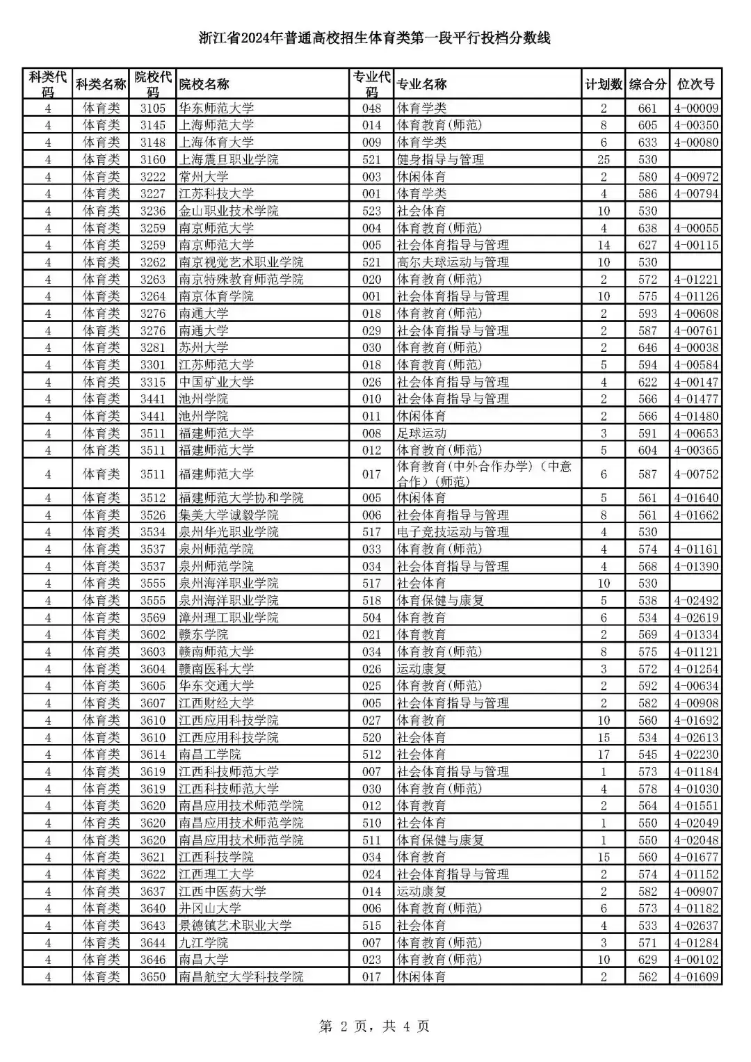
我省2024年高考艺术类统考批第一段、体育类第一段平行志愿投档线刚刚出炉。

快来看你投到了哪。

浙江省2024年普通高校招生

艺术类统考批第一段平行投档分数线


浙江省2024年普通高校招生

体育类第一段平行投档分数线

来源:浙江考试

发表于 2024-7-17 15:35
IP归属地:浙江

3372

主题

1万

帖子

1万

积分

禁止访问

金币
6757
注册时间
2022-12-16
2#
发表于 2024-7-17 15:42  手机客户端>> | 只看该作者
更多网友聊天信息请关注嘉兴人人手必备的神器——嘉兴圈APP
收起回复
吃瓜群众0305 : 本领学到手不怕
IP归属地:浙江  2024-7-17 16:02 回复
B Color Smilies
还可输入 个字符
IP归属地:浙江

95

主题

1万

帖子

8697

积分

等级:9

Rank: 9Rank: 9Rank: 9

金币
200
注册时间
2022-11-22
3#
发表于 2024-7-17 15:45  手机客户端>> | 只看该作者
特别漂亮(肤色好!五官好!身材好!气质好!头发好!嘴巴好!其他好)的肯定能有好工作!
收起回复
吃瓜群众0305 : 男的啥好?
IP归属地:浙江  2024-7-17 16:02 回复
防不胜防 回复 吃瓜群众0305 : 男的只要那个猛即好!
IP归属地:浙江  2024-7-17 16:04 回复
吃瓜群众0305 回复 防不胜防 : 只要猛?时间不管吗?
IP归属地:浙江  2024-7-17 16:04 回复
防不胜防 回复 吃瓜群众0305 : 时间当然要管的!
IP归属地:浙江  2024-7-17 16:12 回复
B Color Smilies
还可输入 个字符
IP归属地:浙江

36

主题

7913

帖子

7671

积分

等级:9

Rank: 9Rank: 9Rank: 9

金币
82
注册时间
2024-3-4
4#
发表于 2024-7-17 16:02  手机客户端>> | 只看该作者
了解了
回复 收起回复
B Color Smilies
还可输入 个字符
IP归属地:浙江

12

主题

4130

帖子

4220

积分

等级:8

Rank: 8Rank: 8

金币
23251
注册时间
2010-9-28
5#
发表于 2024-7-17 16:08 | 只看该作者
嘉大比嘉院 录取位次涨了两三百名,恭喜
回复 收起回复
B Color Smilies
还可输入 个字符
IP归属地:浙江

21

主题

66万

帖子

18万

积分

等级:21

Rank: 21Rank: 21Rank: 21Rank: 21Rank: 21Rank: 21

金币
58
注册时间
2020-1-14
6#
发表于 2024-7-17 18:01  手机客户端>> | 只看该作者
谢谢分享
回复 收起回复
B Color Smilies
还可输入 个字符
IP归属地:山东

0

主题

2万

帖子

1万

积分

等级:12

Rank: 12Rank: 12Rank: 12

金币
0
注册时间
2023-6-8
7#
发表于 2024-7-17 20:57  手机客户端>> | 只看该作者
了解了,谢谢楼主分享!!
回复 收起回复
B Color Smilies
还可输入 个字符
IP归属地:浙江

123

主题

3万

帖子

3万

积分

等级:17

Rank: 17Rank: 17Rank: 17Rank: 17Rank: 17

金币
73060
注册时间
2010-2-13

10周年纪念勋章手机认证勋章

8#
发表于 2024-7-18 01:50  手机客户端>> | 只看该作者
艺术类学生毕业对口工作难找
回复 收起回复
B Color Smilies
还可输入 个字符
IP归属地:浙江

6

主题

18万

帖子

7万

积分

等级:19

Rank: 19Rank: 19Rank: 19Rank: 19Rank: 19Rank: 19

金币
22
注册时间
2020-6-14
9#
发表于 2024-7-19 07:10  手机客户端>> | 只看该作者
是的难
回复 收起回复
B Color Smilies
还可输入 个字符
IP归属地:浙江

1

主题

17万

帖子

9万

积分

等级:20

Rank: 20Rank: 20Rank: 20Rank: 20Rank: 20

金币
12
注册时间
2023-6-27
10#
发表于 2024-7-19 09:32  手机客户端>> | 只看该作者
还是专科和技校好
回复 收起回复
B Color Smilies
还可输入 个字符
IP归属地:浙江

181

主题

6万

帖子

3万

积分

等级:17

Rank: 17Rank: 17Rank: 17Rank: 17Rank: 17

金币
19759
注册时间
2012-5-4

手机达人手机认证勋章

11#
发表于 2024-7-19 10:30  手机客户端>> | 只看该作者
出来了
回复 收起回复
B Color Smilies
还可输入 个字符
您需要登录后才可以回帖 登录 | 快速注册

本版积分规则

关于我们|手机版|论坛版规|争议投诉|小黑屋|嘉论网

侵权举报:本页面所涉内容为用户发表并上传,相应的法律责任由用户自行承担;本网站仅提供存储服务;如存在侵权问题,请权利人与本网站联系删除!举报微信号:quanjie0573

嘉论网创建于2005年 © 2019 嘉兴嘉论网络科技有限公司  Powered by Discuz! X3.1

广告合作:0573-82750502 网站事务:0573-82750501  法律顾问:浙江子城律师事务所

工信部备案号:浙ICP备07033237号 增值电信业务经营许可证:浙B2-20100288(含BBS专项许可)

Processed in 0.177371 second(s), 36 queries